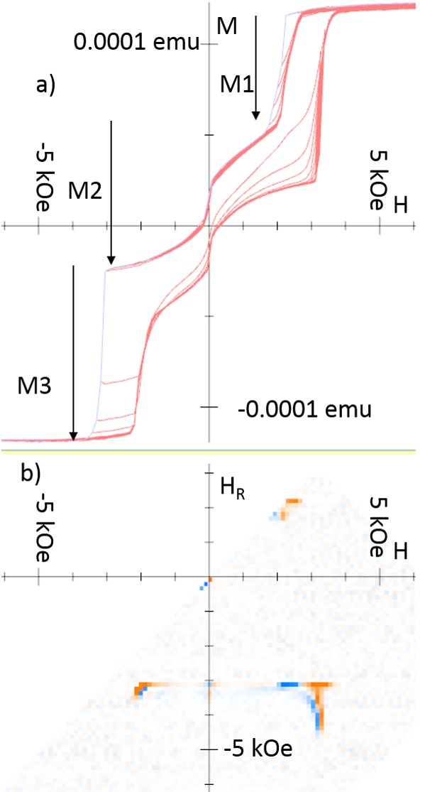
FORC+: High-resolution figures
Figures from
"FORC+ Analysis of Perpendicular Magnetic Tunnel Junctions"
by Abugri et al.:
Fig1
Fig2
Fig3
Fig4
Fig5
Fig6
Fig7
Fig8